Cultură

Originea simbolurilor pentru masculin şi feminin

Simbolurile pentru masculin și femininSimbolurile clasice pentru masculin şi feminin reprezintă două planete, fierul şi cuprul și doi zei din Olimp.

Simbolurile în sine provin încă de la începuturile civilizației. Anticii au observat cum mișcarea corpurilor cerești, precum Soarele și planetele, marchează unele evenimente de pe planeta noastră şi astfel au ajuns, în cele din urmă, să creadă că există o relație de cauzalitate între acestea. În mod logic, oamenii de știință din antichitate au început să studieze bolta cerească pentru a putea prevesti mai bine aceste evenimente. De asemenea, ei au asociat zeilor diferite corpuri cerești cum ar fi Mercur, Venus, Marte, Jupiter (Zeus) și Saturn (Cronos).

Fiecare corp ceresc, împreună cu zeul pe care îl reprezenta, a fost asociat totodată cu un anumită metal. De exemplu, Soarele (Helios) a fost asociat cu aurul, Marte (în greacă, Thouros) a fost asociat cu un metal greu, de culoare roșie care era folosit pentru arme, fierul, în timp ce Venus (în greacă Phosphorus) a fost asociat cu un metal moale care devine verde, cuprul.

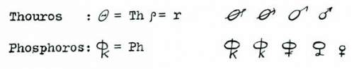
Atunci când scriau despre aceste metale, grecii s-au referit la ele prin numele zeilor reprezentaţi de acestea. Deoarece numele zeilor era format dintr-o combinație de litere, după un timp a apărut un fel de scriere prescurtată de tipul stenografiei.De exemplu, pentru Marte (Thouros) și pentru Venus (Phosphorus) s-a obţinut:

Simbolurile pentru Marte și VenusÎn Evul Mediu alchimiștii europeni s-au bazat pe aceste simboluri prescurtate care au fost păstrate şi în perioada iluminismului, ele fiind utilizate de către unii reprezentanţi notabili ai acestui curent ideologic cum ar fi Carolus Linnaeus (tatăl taxonomiei moderne), cel care s-a referit la astfel de metale în cartea sa din anul 1735 intitulată Systema Naturae.

De asemenea, Linnaeus a fost primul care a folosit aceste semne, într-un context biologic, în teza sa Plantae hybridae (1751), acolo unde a folosit simbolul planetei Venus pentru a desemna un părinte de sex feminin pentru o plantă hibridă și simbolul planetei Marte pentru a indica un părinte de sex masculin.

Linnaeus a continuat să folosească aceste simboluri pentru a evidenţia caracteristicile masculine și feminine.

Mai târziu şi alţi botanişti au utilizat acest simbolism, la fel ca şi alţi oameni de ştiinţă din  domenii precum zoologie, biologie umană şi, în cele din urmă, genetică.

Geneticienii din prezent nu mai folosesc aceste simboluri familiare și utilizează în schimb un pătrat (pentru sexul masculin) și un cerc (pentru sexul feminin):

Simboluri utilizate în geneticăAcest simbolism a fost utilizat în anul 1845 de către Pliniu Earle, un medic din New York, în timp ce explica modul prin care se moşteneşte în familie incapacitatea de a vedea culorile:

„Pentru a ilustra în mod clar prevalența acestei particularităţi fiziologice în familie, am pregătit graficul genealogic anexat. Bărbaţii sunt reprezentaţi prin pătrate, iar femeile prin cercuri”.

Deși nu este foarte clar de ce Earle nu a mai utilizat simbolurile clasice, Edward Nettleship, un membru al Royal Society, a explicat mai târziu că Earle s-a aflat în „imposibilitatea de a obține unele simboluri într-o formă imprimată… cu excepția unora utilizate în muzică”.

Traducere şi adaptare după The Origin of the Male and Female Symbols

Lasă un răspuns

Adresa ta de email nu va fi publicată. Câmpurile obligatorii sunt marcate cu *